Il Pi Greco (π) è una costante matematica definita come il rapporto tra il perimetro del cerchio e il suo diametro.

Il valore del Pi Greco è lo stesso per qualsiasi circonferenza, sia essa enorme o sia essa molto piccola, e il simbolo π che usiamo per descriverlo è l’iniziale della parola greca περίμετρος (ovvero “perimetros”, perimetro).
Il Pi Greco interviene anche nella formula che indica l’area del cerchio, secondo la quale può essere visto come il rapporto tra l’area del cerchio e il raggio al quadrato, e compare anche nella formula che indica il volume della sfera.
Per noi esseri umani il valore di π ancora è sempre stato un enigma e tale continua a essere… vediamo perché!
Prima di tutto, è un numero che oltre a essere irrazionale (cioè non esprimibile come frazione, ratio) è anche trascendente, cioè non è radice di alcun polinomio a coefficienti razionali.
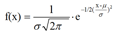
In statistica lo troviamo nella formula che descrive le distribuzioni normali di probabilità:

Nell’ambito della fisica questo numero misterioso compare in formule che descrivono fenomeni tra loro molto diversi, come la forza di Coulomb tra le cariche elettriche e la legge di Stokes che indica l’attrito nella dinamica dei fluidi.



Una “comparsata” eccezionale il Pi Greco la fa nella Formula di Eulero, un caso particolare della formula esponenziale dei numeri complessi, insieme ad altri giganti della matematica come 1 (il numero neutro per la moltiplicazione), 0 (il numero neutro per l’addizione), e (il numero di Nepero) e 1 (l’unità immaginaria dei numeri complessi)

La lettera π in greco ha anche altri significati interessanti: tra questi il fatto che somiglia a un ponte ed è la rappresentazione di un tratto di unione sia graficamente che per ciò che rappresenta: il Pi Greco è in effetti la costante che permette di comparare e collegare le misure lineari con quelle curvilinee.
Il π rappresenta anche una porta, in effetti ci permette di passare dal mondo delle dimensioni lineari a quello delle dimensioni curvilinee, ma attenzione, il fatto che permetta questo passaggio non significa che sia un numero semplice, anzi!
In chimica si chiamano legami π quelli doppi o tripli che si formano tra due atomi con sovrapposizione degli orbitali al di fuori dall’asse di legame tra i nuclei atomici: questo non ha niente a che vedere con il valore numerico del Pi Greco, ma ci offre un altro esempio di utilizzo della lettera che lo rappresenta.

Nella notazione matematica il Pi Greco Maiuscolo rappresenta il simbolo di produttoria Π (cioè di prodotto consecutivo di più termini) e ovviamente nemmeno questo ha a che fare con il valore attribuito al Pi Greco come rapporto tra perimetro e diametro.
In economia si usa invece il Pi Greco per indicare il tasso di inflazione attesa nell’equazione di Fisher, che compara il tasso di interesse nominale con quello atteso.

Ma torniamo al significato fondamentale e più misterioso del Pi Greco, quello geometrico!
Il perimetro della circonferenza rettificata (srotolata direi!) è pari al suo diametro ripetuto un po’ più di 3 volte.

Di solito approssimiamo il valore di π a 3,14, ma in realtà è composto da un numero di cifre infinite, che non riusciremo mai a conoscere del tutto, anche se con i moderni computer ne scopriamo ogni giorno di più. Questo è il valore del π con solo le prime 100 cifre decimali:
3,14159 26535 89793 23846 26433 83279 50288 41971 69399 37510 58209 74944 59230 78164 06286 20899 86280 34825 34211 7067…
Il primo a dare una dimostrazione rigorosa del valore di π fu Archimede, con un metodo basato sull’inscrivere e circoscrivere poligoni attorno ad una figura geometrica piana, cominciando con l’esagono.

Aumentando sempre di più il numero dei lati dei poligoni iscritti e circoscritti, Archimede riuscì ad approssimare sempre la circonferenza.

Arrivò così a delimitare il valore di Pi Greco tra due numeri, i cosiddetti numeri guardiani:
3 + 10/71 < π < 3 + 10/70.
Per questo il numero π è conosciuto anche come la costante di Archimede.
Il π è diventato così importante da avere un giorno dell’anno tutto per lui: il 14 marzo è il Pi Greco Day, in cui si celebra la costante di Archimede con tante iniziative in tutto il mondo, anche in Italia!
La scelta della data è dovuta al fatto che negli Stati Uniti il 14 marzo si indica proprio con 3.14: prima il mese, poi il giorno. Se poi vogliamo anche individuare un orario, sempre usando la notazione anglosassone, questo è all’una e cinquantanove del pomeriggio, orario di Greenwich, proprio per riprodurre le prima cifre seguenti il mese e il giorno, che sono (3,14)159.
Negli Stati Uniti si vede spesso l’immagine di una torta associata al Pi Greco Day, in quanto “torta” si scrive “pie” in inglese e, per quanto sembri strano, la prima lettera con cui si indica il π in inglese (pi greek) si pronuncia pɑ́j come “pie”, invece che pɪ́j come “pee”.

Ci sono dei riferimenti al π anche nella Divina Commedia, dove Dante nel canto XXXIII del Paradiso esprime il concetto del “π”, quando arriva alla visione di Dio e al mistero della trinità nei versetti 133-135:
Quale è ‘l geomètra che tutto s’affligge
Per misurare lo cerchio, e non ritrova,
pensando, quel principio ond’elli indige, …
che parafrasato è:
Come il matematico che si concentra completamente
Per trovare la misura del cerchio, e non trova,
pur impegnandosi con il pensiero, il principio matematico di cui egli ha bisogno,…
Questo numero speciale è citato anche nella Bibbia, in due versetti poco noti che fanno parte di una lista di specifiche per la costruzione del grande tempio di Salomone, costruito intorno al 950 a.C., descrivono una relazione tra circonferenza e diametro pari a 3 (30 diviso 10):
E costruì un bacino di metallo, lungo dieci cubiti da un capo all’altro: era rotondo, alto cinque cubiti: e la circonferenza era di trenta cubiti. (I Re 7, 23)
Salomone fece l’altare di bronzo lungo venticinque cubiti, largo venticinque e alto dieci. Fece la vasca di metallo fuso del diametro di dieci cubiti, rotonda, alta cinque cubiti; ci voleva una corda di trenata cubiti per cingerla. (II Cronache 4, 1-2 )
La stima del valore di π pari a 3 non è certo accurata e non lo era neanche in quei tempi, giacché il valore egiziano 3,125 (25/8) e quello mesopotamico di 3,162 sono più precisi e risalgono a date anteriori, ma l’oggetto in questione era costituito da un’unica colata di ottone molto ampia, dove un alto grado di precisione geometrica non era possibile né necessario.
Nel seguente video cerco di spiegare il significato geometrico del π:
L’influenza del π sulla nostra cultura è stato davvero notevole nei tempi e ancora perdura adesso, se pensiamo che c’è anche un profumo con questo nome, il Givenchy Pi Greco!
Bellissima l’opera dell’artista rumeno Cristian Vasile, che unisce le cifre decimali del Pi Greco all’interno di un tondo con un programma informatico
Se qualcuno volesse ascoltare un pezzo suonato associando le note alle cifre di π eccola qui: potete ascoltarla leggendo alcuni fatti divertenti riguardo al Pi Greco.
Non solo noi però siamo attratti da questo numero speciale, lo è anche la natura: come abbiamo visto anche le leggi della statistica e della fisica possono contenere questa costante, che sembra ritrovarsi persino nella lunghezza dei fiumi.
Il Professor Hans Stolum dell’università di Cambridge ha verificato che il rapporto medio tra la lunghezza effettiva dei fiumi dalla sorgente alla foce e la loro lunghezza in linea d’aria, quando la pendenza del terreno è bassa e il corso d’acqua forma meandri, è circa 3,14. Qualcuno ha successivamente confutato i suoi risultati, ma questa ricerca rimane comunque affascinante.

Ci sono anche molti libri scritti per approfondire l’argomento, come City di Baricco e L’ultimo teorema di Fermat di Singh, che citano il fenomeno dei meandri.
Per veri appassionati, c’è addirittura un libro che contiene il primo milione di cifre decimali del pi greco
Prendiamo fiato e cominciamo a leggerli tutti:
3,14159 26535 89793 23846 26433 83279 50288 41971 69399 37510 58209 74944 59230 78164 06286 20899 86280 34825 34211 70679…
… continuando ancora per molto…
In un estratto della serie televisiva americana Person of Interest è spiegato bene quali possono essere sono le implicazioni di questa infinita serie di numeri decimali:
A questo proposito c’è anche un motore di ricerca interamente dedicato al Pi Greco, in cui potete divertirvi a cercare la posizione all’interno delle cifre decimali di questo numero fantastico della combinazione di numeri che esprime il vostro giorno di nascita, o il vostro numero di telefono, o anche le vostre password!
Qui di seguito è possibile scaricare un file in Excel in cui la circonferenza varia a seconda del raggio, usato come parametro:
Infine, il 14 marzo 2020, all’inizio della pandemia, ho deciso di creare questo blog e la pagina su Facebook in cui mi dedico alle mie passioni: le scienze e le lingue straniere.







[…] come sappiamo è impossibile farlo per il cerchio senza essere costretti ad approssimare (cliccare qui per […]
"Mi piace""Mi piace"
[…] misteriosa, prima di tutto perché dentro alla formula che mi descrive compare per ben due volte il pi greco, un numero che di misteri ne contiene un bel po’ e che conosce molti incantesimi, ad esempio […]
"Mi piace""Mi piace"