PROBABILITÀ E VARIABILI CASUALI
Ops… questo articolo non è ancora completo, ma lo sarà presto!
Riferimento al libro “Statistica: principi e metodi”: capitolo 12 “introduzione alla probabilità”
Esperimento casuale = esperimento in cui i risultati non sono prevedibili con certezza
Evento elementare = singolo risultato di un esperimento casuale = ω
Spazio campionario ed eventi (esempi) = insieme di tutti gli eventi elementari = Ω
Evento = insieme di eventi elementari (sottoinsieme dello spazio campionario Ω)
Probabilità = può avere diverse definizioni
Probabilità (definizione classica)= rapporto tra il numero dei casi favorevoli e il numero dei casi possibili
Probabilità (definizione frequentista) = valore a cui tende la frequenza relativa dei successi in un gran numero di prove fatte tutte nelle medesime condizioni
Legge empirica del caso = in una serie di prove ripetute un gran numero di volte nelle stesse condizioni, ciascuno degli eventi possibili si manifesta con una frequenza relativa che è circa uguale al valore teorico della sua probabilità. L’approssimazione migliora con il numero delle prove.
Probabilità (definizione soggettivista) = grado di fiducia che un individuo coerente attribuisce al presentarsi di un evento, che può essere quantificata come la somma p che è disposto a scommettere sul verificarsi dell’evento
Probabilità (definizione assiomatica) = funzione definita su una famiglia di sottoinsiemi dello spazio campionario che rispetta gli assiomi di certezza, di positività e di unione
Assioma di positività = la probabilità di un evento A è un numero unico maggiore o uguale di 0: P(A)≥0.
Assioma di certezza = la probabilità dell’evento certo e quindi dello spazio campionario Ω è sempre 1: P(Ω)=1.
Assioma di unione = siano A e B due eventi incompatibili, allora la probabilità della loro unione è la somma delle singole probabilità di A e B: P(A∪B) = P(A) + P(B)
Proprietà e Teoremi della probabilità
Ruolo della probabilità nell’inferenza statistica
Operazioni su insiemi = unione e intersezione
unione =
intersezione =
eventi disgiunti =
eventi complementari =
• evento impossibile = evento che ha probabilità di accadere pari a 0
• evento certo = evento che ha probabilità di accadere pari a 1
• evento complementare = evento che ha probabilità di accadere pari a 1-P
• unione di due eventi compatibili = ha probabilità di accadere pari a
• evento condizionato (con esempi di calcolo)
legge del prodotto
CORRELAZIONE DEGLI EVENTI
• eventi indipendenti =
• eventi correlati positivamente =
• eventi correlati negativamente =
Teorema di Bayes (con esempi di applicazione).
Riferimento al libro “Statistica: principi e metodi”: capitolo 13 “Variabili casuali”
Variabili casuali = definizione ed esempi.
Variabili casuali discrete.
Funzione di probabilità e sue proprietà.
Funzione di ripartizione
Concetto di variabile casuale =
Variabili casuali discrete =
Distribuzioni di probabilità =
Concetto di funzione di probabilità e suoi esempi.
Funzione di ripartizione =
Speranza matematica: varianza e deviazione standard di variabili casuali discrete.
Standardizzazione di variabili casuali =
Variabili casuali continue =
Funzione di densità di probabilità rettangolare =
Speranza matematica: varianza e deviazione standard di variabili casuali continue.
Concetto di variabile casuale doppia =
Variabile casuale binomiale =
Variabile casuale di Poisson =
Variabile casuale Gaussiana e Gaussiana standardizzata =
Uso delle tavole della Gaussiana =
Approssimazione della binomiale alla normale.
Variabile casuale Chi-quadro e suo andamento all’aumentare del numero di gradi di libertà.
Uso della tavola del Chi-quadro.
Approssimazione della variabile casuale Chi-quadro alla Gaussiana.
variabili casuali =
Bernulli =
Binomia =
Poisson =
Normale e normale standardizzata =
inferenza (statistica) = l’insieme dei metodi che ci permettono di generalizzare i risultati basati su un’osservazione parziale del fenomeno di interesse, come nel caso delle indagini campionarie, dove viene analizzato un campione casuale estratto da una popolazione reale o come nel caso degli esperimenti o degli studi di osservazione, dove il campione casuale è generato dalla ripetizione dell’esperimento o dall’osservazione sul campo nelle stesse condizioni (formulare previsioni basate sui dati raccolti)
• inferenza statistica diretta =
• inferenza statistica inversa =
Stima dei parametri =
Verifica delle ipotesi =
Campione casuale semplice con reintroduzione o Bernoulliano= campionamento in cui ogni elemento che viene estratto viene reintrodotto nella popolazione in modo tale che ad ogni estrazione successiva non venga alterata la composizione della popolazione ed ogni elemento estratto ha sempre la stessa probabilità di venire scelto.
Spazio campionario = insieme dei possibili risultati di un esperimento casuale
Campione casuale = campionamento creato da un universo al cui interno ogni singola unità ha la stessa probabilità di un’altra di essere estratta.

Campione casuale bernoulliano o campione casuale con ripetizione = campionamento in cui l’estrazione viene effettuata con reinserimento
Campione casuale senza ripetizione o c.c. in blocco o c.c. esaustivo = campionamento in cui l’estrazione viene effettuata senza reinserimento

Media aritmetica campionaria = media degli elementi di un campione
Dimostrazione della correttezza dello stimatore media aritmetica campionaria.
Media aritmetica nel caso di campionamento casuale semplice con reintroduzione
Ad esempio, considerando una popolazione composta dai 3 elementi {1,2,3} ho 9 possibili medie campionarie con spazio campionario pari a n=2.

La distribuzione delle frequenze delle medie è:

Speranza matematica di una media aritmetica campionaria (valore atteso) = è la media delle medie campionarie e coincide con la media della popolazione (o universo) μ (in questo caso la variabile casuale di cui vogliamo calcolare la media è la media campionaria e le Xi in questo caso sono le medie campionarie)

Media aritmetica nel caso di campionamento casuale semplice senza reintroduzione


Varianza della media aritmetica campionaria nel caso di campionamento casuale semplice con reintroduzione.

Varianza della media aritmetica campionaria nel caso di campionamento casuale semplice senza reintroduzione.


Ad esempio, lo stimatore è l’insieme di tutte le medie dei campioni (media campionaria), la stima è la media nel campione osservato.



Per gli stimatori non distorti l’errore quadratico medio è uguale alla varianza e la media è uguale al parametro.

Stimatori e stime

Distribuzione della media campionaria nel caso di una popolazione normale = comportamento al limite (per n che tende a infinito) della successione

con X1, X2, …, Xn successione di variabili casuali indipendenti aventi tutte la stessa distribuzione di probabilità e

Legge dei grandi numeri = espressione matematica dell’intuizione, basata sull’evidenza empirica, secondo la quale, al crescere del numero di ripetizioni di un dato esperimento sotto identiche condizioni, la media aritmetica dei risultati tende a stabilizzarsi attorno alla media (valore atteso) della variabile casuale connessa all’esperimento. Ad esempio, se lanciamo un dato bilanciato molte volte, ci aspettiamo che la media aritmetica sia quella della variabile casuale, 3,5.

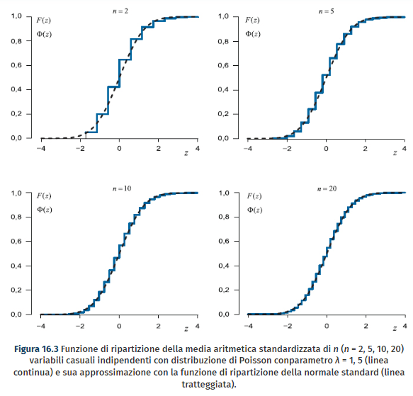
Teorema del limite centrale =


Standardizzazione della distribuzione gaussiana della media aritmetica campionaria.




Stima puntuale dei parametri =
Teoria della stima =
Definizioni di stimatore e stima =
Stima puntuale =
Proprietà auspicabili degli stimatori =
Errore di stima =
Media degli errori di stima e correttezza dello stimatore =
Errore quadratico medio =
Distorsione e non distorsione =
Errore quadratico medio =
Relazione dell’errore quadratico medio con la varianza dello stimatore =
Accuratezza ed efficienza degli stimatori =
Proprietà asintotiche degli stimatori: stimatore asintoticamente non distorto.
Consistenza =
Verifica delle ipotesi.
Ipotesi semplici e composte unilaterali e bilaterali.
Teoria dei test =
Probabilità di errori di prima e seconda specie.
Verifica di ipotesi sulla media di una popolazione normale con varianza nota.
Zona di rifiuto in coda sinistra e in coda destra e bilaterale.
Relazione tra alfa e beta.
Potenza del test =
Misura della dipendenza tra due caratteri qualitativi.
Frequenze teoriche (calcolate in condizioni di indipendenza)
Indice chi quadro =
Verifica dell’ipotesi di indipendenza tra mutabili =
Numero dei gradi di libertà.
Distribuzione chi quadro =
Zona di rifiuto (critica) di dimensione alfa.
Statistica test chi-quadrato per la bontà dell’adattamento.
Test chi-quadro per la bontà dell’adattamento.
Esempio di verifica della bontà dell’adattamento per una distribuzione di Poisson.
Calcolo del numero dei gradi di libertà.
Dipendenza in media.
devianza totale = si scompone in devianza spiegata e devianza residua
• devianza spiegata =
• devianza residua =
rapporto di correlazione =

[…] probabilità e variabili casuali = popolazione, campione, stima puntuale, verifica di ipotesi parametriche, verifica d’ipotesi d’indipendenza tra mutabili. […]
"Mi piace""Mi piace"