- Scomposizione di un polinomio in un prodotto di polinomi di grado inferiore
Il primo metodo che si può usare per scomporre i polinomi è quello del raccoglimento a fattore comune, totale o parziale.
Ad esempio, partendo da questo polinomio
x4-14x3+49x2-121
Possiamo raccogliere il fattore x2, comune ai primi tre monomi che lo compongono, ottenendo
x2 (x2-14x+49)-121
Una volta effettuato il raccoglimento, dobbiamo osservare attentamente ciò che abbiamo ottenuto, cercando di riconoscervi le formule dei prodotti notevoli che conosciamo.
Ad esempio x2-14x+49 può essere riconosciuto come il quadrato del binomio x-7 e il polinomio diventerà
x2 (x-7)2-121
Osserviamo bene il polinomio ottenuto e notiamo che è composto dalla differenza di due quadrati, per cui sarà possibile scomporlo come moltiplicazione della somma e della differenza di due polinomi più semplici.
[x (x-7)+11] [x (x-7)-11]
Per riconoscere i prodotti notevoli occorre avere molta confidenza con i quadrati e i cubi più comuni.
Molto può aiutare considerare che tutte le potenze pari sono dei quadrati, tutte le potenze che hanno come esponente un multiplo di 3 sono dei cubi.
Può aiutare anche memorizzare bene quali sono i quadrati perfetti dei numeri, lungo la diagonale delle famosa tavola pitagorica.

Inoltre può essere utile ricordarsi dei cubi più famosi.

Attenzione: il numero 1 può essere quadrato o cubo di 1 o 1 elevato a qualsiasi potenza.
Come aiuto per districarsi nella giungla dei prodotti notevoli ho creato questa mappa:

La mappa per le scomposizioni, che non è esaustiva e non è un flow chart, ma vuole essere solo una piccola guida, si può scaricare qui:
Uno dei casi non contemplati è quando il polinomio si può scomporre aggiungendo o sottraendo termini.

Nel caso in cui il raccoglimento o altri metodi non dovessero funzionare, si può usare Ruffini, come nel seguente video.
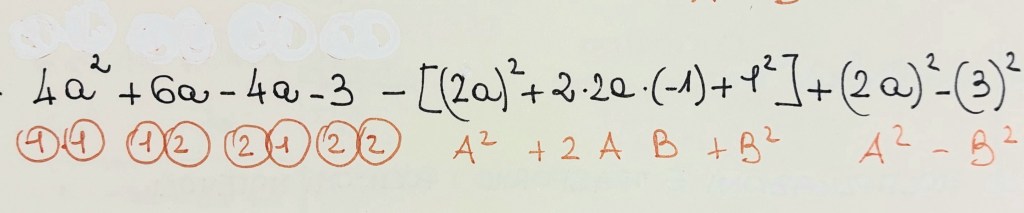
2. Riduzione di un polinomio in forma normale
Prima di tutto cerchiamo eventuali prodotti notevoli che potremo trattare utilizzando le regole che conosciamo (ad esempio quadrati di binomi o somme per differenza).
Ad esempio in questa espressione troviamo questi due prodotti notevoli, per ognuno dei quali individuiamo con quali monomi coincidono gli A e i B che sono nella regola.

La prima parte dell’espressione non corrisponde con nessun prodotto notevole e quindi si svolge normalmente come una moltiplicazione tra polinomi, moltiplicando il primo membro del primo polinomio per tutti i membri del secondo polinomio e poi facendo la stessa cosa con il secondo membro del primo polinomio.

4a2, ad esempio, è il prodotto tra i due primi membri dei due polinomi iniziali.
Continuiamo con le moltiplicazioni e lo svolgimento dei prodotti notevoli.

Attenzione a quando si trasforma ciò che è dopo un meno da moltiplicazione di due o più membri ad addizione o sottrazione: affinché il segno negativo sia applicato a tutti i membri è necessario usare una parentesi, nel caso in esame quadra, perché abbiamo usato le parentesi tonde per applicare la formula del prodotto notevole.
Nei prodotti notevoli è importante determinare quale monomio è A e quale è B, in modo da poter applicare le regole che conosciamo.

Svolgiamo i calcoli, facendo prima gli elevamenti a potenza e poi togliendo le parentesi.
Quando si toglie la parentesi si applica il segno meno a tutti gli addendi che erano dentro alla parentesi e quindi tutto ciò che era negativo diventa positivo e viceversa, secondo la regola dei segni.

Individuiamo poi i monomi simili, quelli cioè che contengono le variabili elevate alla stessa potenza, e facciamo le dovute semplificazioni e operazioni, fino a raggiungere il risultato finale.


