
Un urto è un’interazione tra due corpi che avviene in un intervallo di tempo molto breve, durante il quale le forze coinvolte sono molto intense e la quantità di moto si conserva.
La quantità di moto (o momento lineare) è una grandezza vettoriale definita come:

dove:
- m è la massa, con unità di misura: kg
- v è la velocità, con unità di misura: m/s
- p è la quantità di moto, con unità di misura: kg⋅m/s
La quantità di moto ha la stessa direzione e verso della velocità.
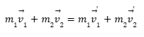
In un sistema isolato (cioè senza forze esterne risultanti), la quantità di moto totale si conserva per qualsiasi tipo di urto (completamente elastico, anelastico, completamente anelastico):

Questa legge vale sempre, per qualsiasi tipo di urto.
Per due corpi si ha:

dove:
- v1,v2 sono le velocità prima dell’urto
- v1′,v2′ sono le velocità dopo l’urto
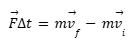
Si definisce impulso:

dove:
- F è la forza
- t è l’intervallo di tempo
L’impulso è uguale alla variazione della quantità di moto:

cioè:

Questa relazione è chiamata teorema dell’impulso.
Durante l’urto:
- la forza è molto grande
- il tempo è molto piccolo
ma il prodotto Ft ha un valore finito.
Maggiore è l’impulso, maggiore è la variazione della velocità. Ad esempio, gli airbag aumentano il tempo dell’urto (al denominatore), diminuendo la forza dell’impatto.

CLASSIFICAZIONE DEGLI URTI
Gli urti si classificano in base alla conservazione o meno dell’energia cinetica.
Un urto è elastico se si conservano sia la quantità di moto che l’energia cinetica:

In questi urti non c’è perdita di energia meccanica.
Un urto è anelastico se si conserva solo la quantità di moto:


L’energia cinetica non si conserva, perché una parte si trasforma in calore, deformazioni, suono, quindi

| Grandezza | Urto elastico | Urto anelastico |
|---|---|---|
| Quantità di moto | Si conserva | Si conserva |
| Energia cinetica | Si conserva | Non si conserva |
| Deformazioni | Nessuna permanente | Presenti |
| Corpi dopo l’urto | Si separano | Possono restare uniti |
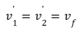
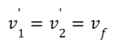
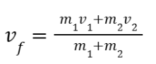
- Caso particolare: urto completamente anelastico

Caso limite in cui i due corpi restano attaccati dopo l’urto. In questo caso la perdita di energia cinetica è massima e i due corpi hanno un’unica velocità finale, restando attaccati.
La conservazione della quantità di moto diventa

Da cui:

Un esempio tipico di questo caso è di due carrelli che rimangono attaccati dopo l’urto o di un proiettile che si conficca nel corpo che colpisce.
2. Caso particolare: urto elastico con entrambi i corpi inizialmente fermi e masse diverse
Se sia il primo che il secondo corpo sono inizialmente fermi (v1 =v2=0) usiamo la conservazione della quantità di moto, ma considerando che il primo membro dell’equazione è nullo:

Il corpo con massa maggiore assumerà una velocità minore, mentre il corpo con massa minore risulterà spinto con una velocità maggiore.
Questo caso è l’esempio tipico di due pattinatori inizialmente fermi che si spingono l’uno con l’altro: i pattinatori hanno in genere due masse diverse, ma dello stesso ordine di grandezza, quindi le due velocità finali non saranno molto diverse una dall’altra).

Questo è anche il caso del fucile che spara un proiettile: il fucile e il proiettile hanno due masse molto diverse, quindi le due velocità finali non saranno molto diverse una dall’altra, molto alta quella del proiettile e molto bassa quella del fucile (detta velocità di rinculo).

3. Caso particolare: urto elastico con un corpo inizialmente fermo e masse diverse
Se il secondo corpo è inizialmente fermo (v2=0):

Possiamo notare che se la massa del corpo 1, che inizialmente è in movimento, è maggiore di quella del corpo 2 fermo, allora i due corpi si trovano alla fine ad avere una velocità che ha lo stesso verso di quella iniziale del corpo 1, mentre invece se la massa del corpo 2, che sta inizialmente fermo, è maggiore, allora il corpo 2 si muoverà con una velocità che ha lo stesso verso di quella iniziale del corpo 1, mentre il corpo 1 si muoverà con una velocità finale di verso opposto a quella iniziale.
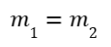
4. Caso particolare: urto elastico con un corpo inizialmente fermo e masse uguali
Se:

allora:

Quindi il primo corpo si ferma e il secondo prende la sua velocità.
Questo caso è l’esempio tipico di due o più palle da biliardo, di cui una sola è in movimento o delle collision bars dell’immagine seguente.


5. Caso particolare: urto elastico con secondo corpo molto più grande
Se:

allora:

Il corpo rimbalza indietro.
Un esempio tipico è quello di una pallina contro un muro: poiché la massa totale del muro è molto grande, la sua velocità è molto piccola (quasi nulla), per rispettare la conservazione.
